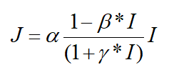
模型公式

模式操作页面简介
如图该模型计算分为6个部分,1,2,3,4 在界面的左侧作为输入;5,6在右侧作为输出
1.模型数据输入框
(1)第一列为光强
(2)第二列为电子传递速率
2.模型参数
(1)参数名称
(2)参数初始值
(3)参数下限值
(4)参数上限值
3.计算模型的其他参数
(1)叶绿素
(2)叶片面积
4.计算
(1)计算按钮
(2)是否缓存计算结果
(3)输出部分显示的小数位数
5.输出结果
(1)模型参数的估计值
(2)模型参数估计的准确度指标
(3)模型测量值拟合值对比列表
6.测量值和拟合值的图形
界面操作步骤
1.将数据从excel等表格复制粘贴到模型数据输入框
2.修改模型的参数初始值以及上下界
3.根据需求填写其他参数并勾选checkbox
4.根据需求设置输出小数位数以及勾选是否缓存数据checkbox
5.点击计算按钮